Официальное опубликование правовых актов
ОФИЦИАЛЬНОЕ ОПУБЛИКОВАНИЕ
Постановление Правительства Ростовской области от 12.04.2017 № 286
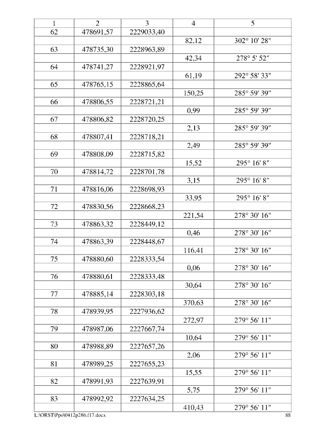
"Об утверждении проекта изменений в основную часть проекта планировки и в проект межевания территории размещения линейного объекта "Реконструкция системы Шахтинско-Донского водовода (ШДВ). Повышение надежности системы водоснабжения г. Новошахтинск, г. Красный Сулин и прилегающих поселков. Строительство насосной станции в районе пос. Майский"
Номер опубликования: 6100201704170003
Дата опубликования: 17.04.2017
Страница №88 из 181:
Увеличить