Официальное опубликование правовых актов
ОФИЦИАЛЬНОЕ ОПУБЛИКОВАНИЕ
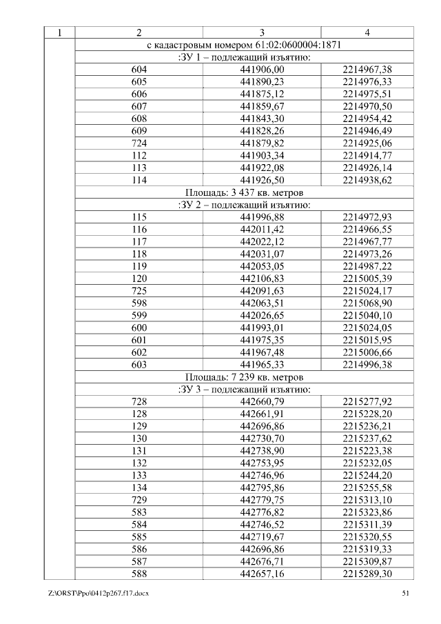
Постановление Правительства Ростовской области от 12.04.2017 № 267
"О внесении изменений в постановление Правительства Ростовской области от 26.07.2016 № 526"
Номер опубликования: 6100201704130001
Дата опубликования: 13.04.2017
Страница №51 из 101:
Увеличить