Официальное опубликование правовых актов
ОФИЦИАЛЬНОЕ ОПУБЛИКОВАНИЕ
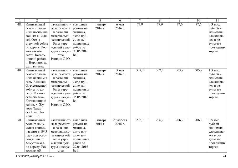
Постановление Правительства Ростовской области от 05.04.2017 № 255
"Об утверждении отчета о реализации государственной программы Ростовской области "Развитие культуры и туризма" за 2016 год"
Номер опубликования: 6100201704100003
Дата опубликования: 10.04.2017
Страница №44 из 156:
Увеличить