Официальное опубликование правовых актов
ОФИЦИАЛЬНОЕ ОПУБЛИКОВАНИЕ
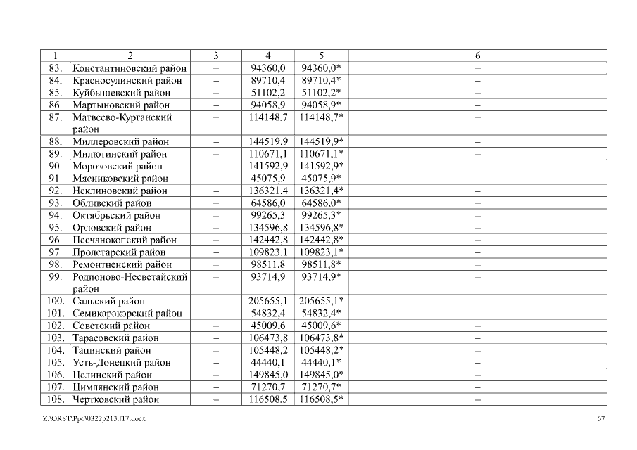
Постановление Правительства Ростовской области от 22.03.2017 № 213
"Об утверждении отчета о реализации государственной программы Ростовской области "Развитие сельского хозяйства и регулирование рынков сельскохозяйственной продукции, сырья и продовольствия" за 2016 год"
Номер опубликования: 6100201703270002
Дата опубликования: 27.03.2017
Страница №67 из 138:
Увеличить