Официальное опубликование правовых актов
ОФИЦИАЛЬНОЕ ОПУБЛИКОВАНИЕ
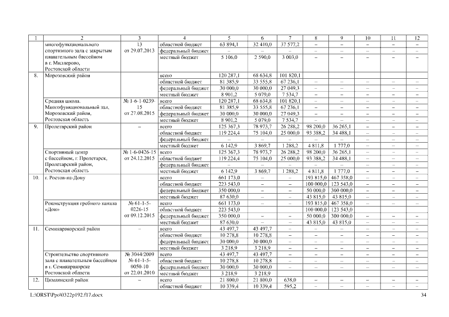
Постановление Правительства Ростовской области от 22.03.2017 № 192
"О внесении изменений в постановление Правительства Ростовской области от 25.09.2013 № 591"
Номер опубликования: 6100201703240017
Дата опубликования: 24.03.2017
Страница №34 из 40:
Увеличить