Официальное опубликование правовых актов
ОФИЦИАЛЬНОЕ ОПУБЛИКОВАНИЕ
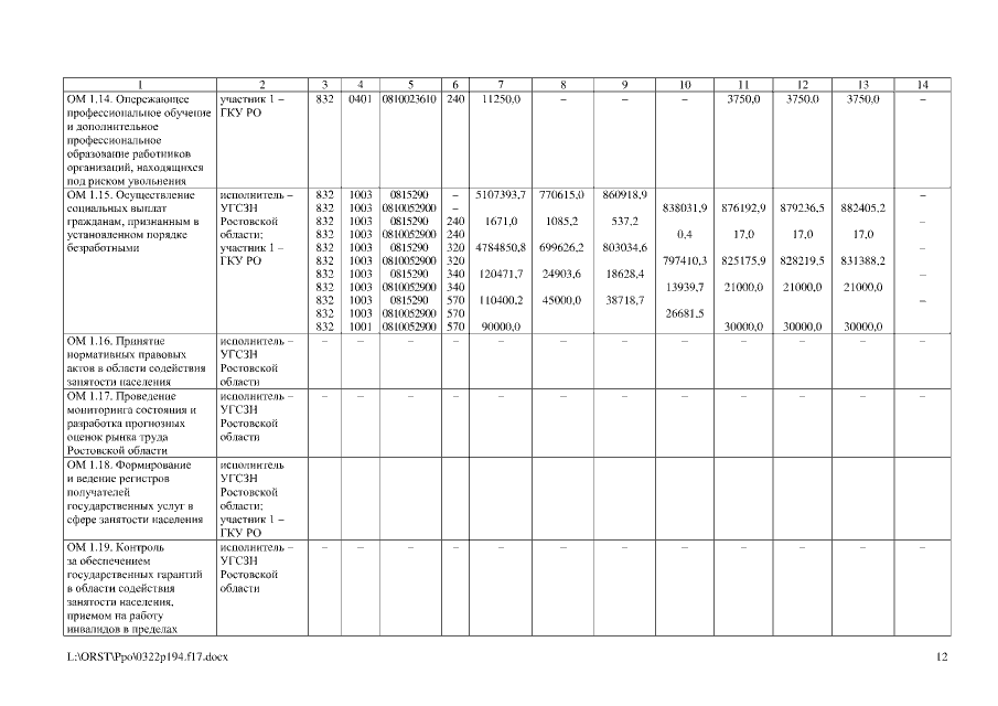
Постановление Правительства Ростовской области от 22.03.2017 № 194
"О внесении изменений в постановление Правительства Ростовской области от 25.09.2013 № 586"
Номер опубликования: 6100201703240012
Дата опубликования: 24.03.2017
Страница №12 из 23:
Увеличить