Официальное опубликование правовых актов
ОФИЦИАЛЬНОЕ ОПУБЛИКОВАНИЕ
Постановление Правительства Ростовской области от 15.03.2017 № 155
"О внесении изменений в постановление Правительства Ростовской области от 25.09.2013 № 599"
Номер опубликования: 6100201703200024
Дата опубликования: 20.03.2017
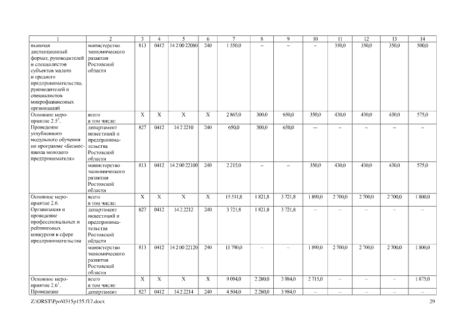
Страница №29 из 48:
Увеличить