Официальное опубликование правовых актов
ОФИЦИАЛЬНОЕ ОПУБЛИКОВАНИЕ
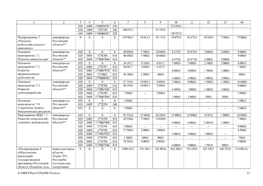
Постановление Правительства Ростовской области от 29.12.2016 № 908
"О внесении изменений в постановление Правительства Ростовской области от 25.09.2013 № 592"
Номер опубликования: 6100201701060086
Дата опубликования: 06.01.2017
Страница №22 из 38:
Увеличить