Постановление Правительства Ростовской области от 29.12.2016 № 912
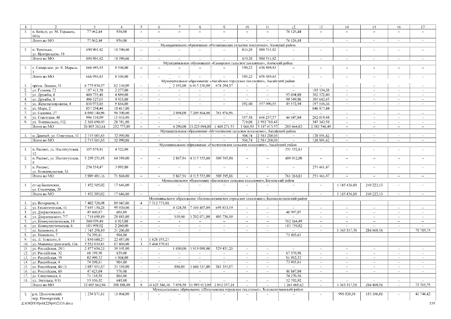
"Об утверждении краткосрочного плана реализации Региональной программы по проведению капитального ремонта общего имущества в многоквартирных домах на территории Ростовской области на 2014 – 2049 годы на 2017 – 2019 годы"
"Об утверждении краткосрочного плана реализации Региональной программы по проведению капитального ремонта общего имущества в многоквартирных домах на территории Ростовской области на 2014 – 2049 годы на 2017 – 2019 годы"
Номер опубликования: 6100201701060069
Дата опубликования:
06.01.2017
