Официальное опубликование правовых актов
ОФИЦИАЛЬНОЕ ОПУБЛИКОВАНИЕ
Постановление Правительства Ростовской области от 29.12.2016 № 897
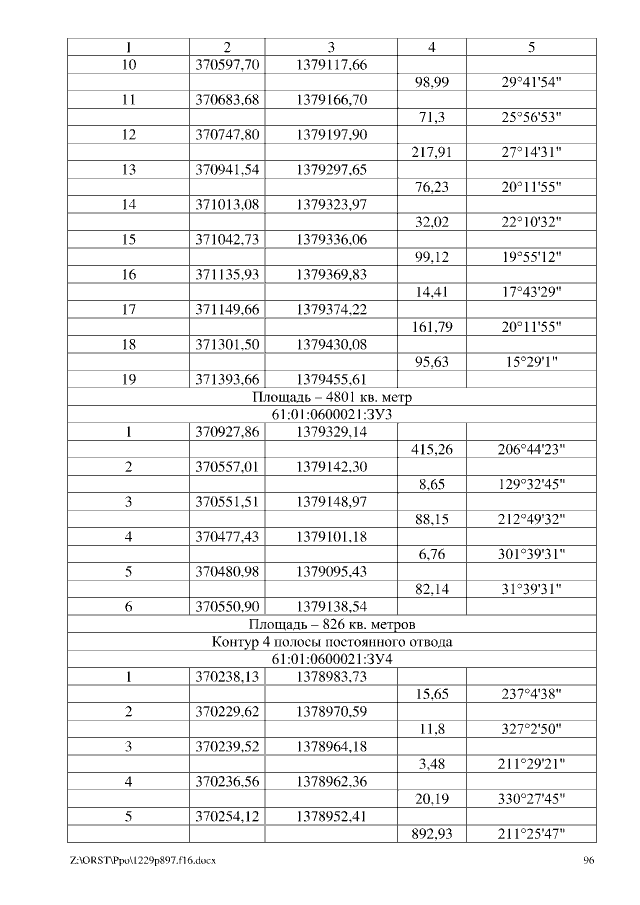
"Об утверждении основной части проекта планировки и проекта межевания территории размещения автомобильной дороги общего пользования регионального значения г. Азов – с. Александровка – ст. Староминская (до границы Краснодарского края) на участке км 57 + 000 – 71 + 000 в Азовском районе"
Номер опубликования: 6100201701060005
Дата опубликования: 06.01.2017
Страница №96 из 157:
Увеличить