Официальное опубликование правовых актов
ОФИЦИАЛЬНОЕ ОПУБЛИКОВАНИЕ
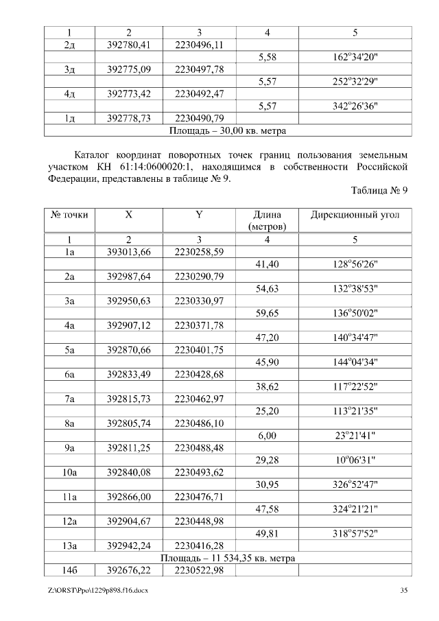
Постановление Правительства Ростовской области от 29.12.2016 № 898
"Об утверждении основной части проекта планировки и проекта межевания территории размещения автомобильной дороги общего пользования регионального значения г. Ростов-на-Дону (от магистрали "Дон") – г. Ставрополь (до границы Ставропольского края) на участке км 26 + 600 – км 27 + 400 в Кагальницком районе"
Номер опубликования: 6100201701060002
Дата опубликования: 06.01.2017
Страница №35 из 37:
Увеличить