Официальное опубликование правовых актов
ОФИЦИАЛЬНОЕ ОПУБЛИКОВАНИЕ
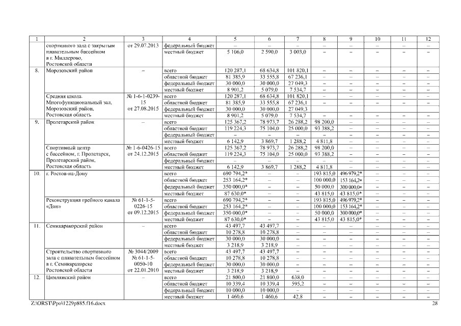
Постановление Правительства Ростовской области от 29.12.2016 № 885
"О внесении изменений в постановление Правительства Ростовской области от 25.09.2013 № 591"
Номер опубликования: 6100201612300007
Дата опубликования: 30.12.2016
Страница №28 из 33:
Увеличить