Официальное опубликование правовых актов
ОФИЦИАЛЬНОЕ ОПУБЛИКОВАНИЕ
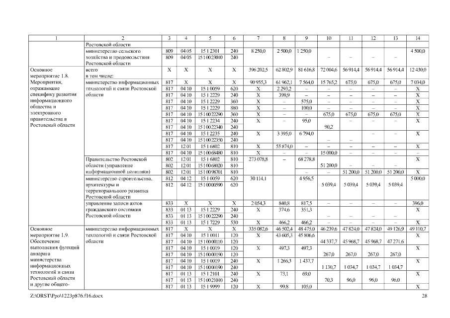
Постановление Правительства Ростовской области от 23.12.2016 № 876
"О внесении изменений в постановление Правительства Ростовской области от 25.09.2013 № 594"
Номер опубликования: 6100201612280006
Дата опубликования: 28.12.2016
Страница №28 из 35:
Увеличить