Официальное опубликование правовых актов
ОФИЦИАЛЬНОЕ ОПУБЛИКОВАНИЕ
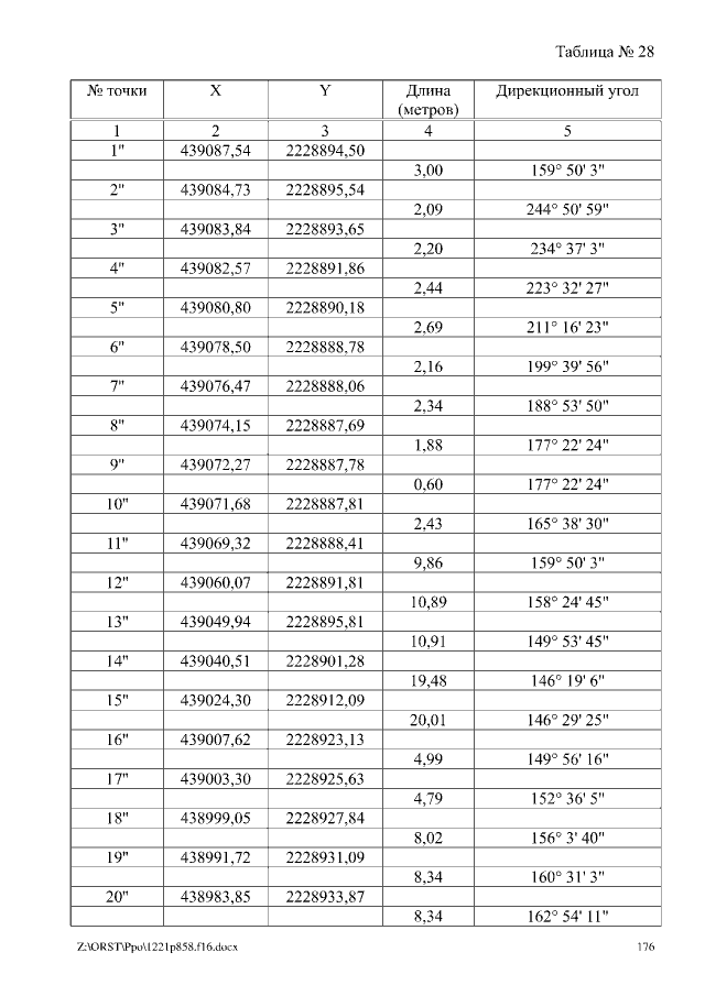
Постановление Правительства Ростовской области от 21.12.2016 № 858
"Об утверждении проекта изменений в основную часть проекта планировки и в проект межевания территории размещения объекта инфраструктуры федерального значения "Строительство системы водоснабжения аэропортового комплекса "Южный" и прилегающих населенных пунктов (1 этап)" в границах городского округа "Город Новочеркасск", Мишкинского, Рассветовского и Грушевского сельских поселений Аксайского района Ростовской области"
Номер опубликования: 6100201612230006
Дата опубликования: 23.12.2016
Страница №176 из 240:
Увеличить