Официальное опубликование правовых актов
ОФИЦИАЛЬНОЕ ОПУБЛИКОВАНИЕ
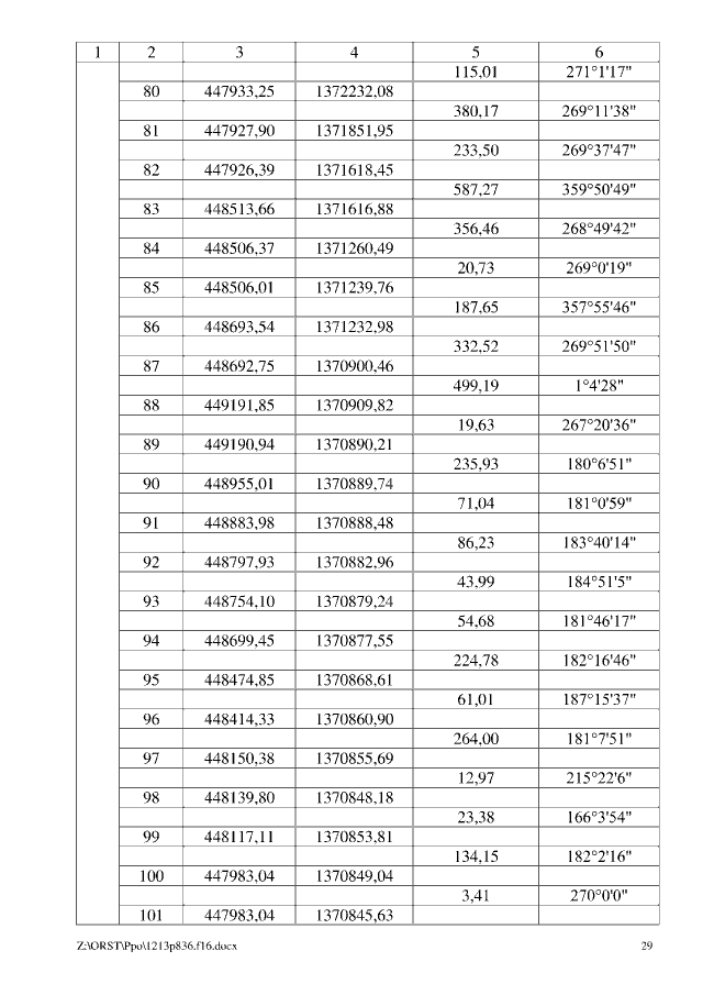
Постановление Правительства Ростовской области от 13.12.2016 № 836
"Об утверждении основной части проекта планировки и проекта межевания территории размещения автомобильной дороги общего пользования регионального значения с. Самбек – пос. Матвеев Курган – с. Куйбышево – г. Снежное (до границы Украины) на участке км 21 + 300 – км 22 + 600 в Матвеево-Курганском районе"
Номер опубликования: 6100201612190004
Дата опубликования: 19.12.2016
Страница №29 из 32:
Увеличить