Официальное опубликование правовых актов
ОФИЦИАЛЬНОЕ ОПУБЛИКОВАНИЕ
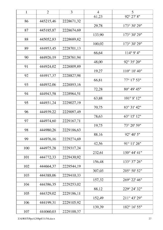
Постановление Правительства Ростовской области от 08.12.2016 № 833
"Об утверждении проекта изменений в основную часть проекта планировки и в проект межевания территории размещения линейного объекта "Газопровод высокого давления для газоснабжения аэропортового комплекса "Южный" и прилегающих населенных пунктов в Грушевском сельском поселении Аксайского района Ростовской области"
Номер опубликования: 6100201612140027
Дата опубликования: 14.12.2016
Страница №27 из 118:
Увеличить