Официальное опубликование правовых актов
ОФИЦИАЛЬНОЕ ОПУБЛИКОВАНИЕ
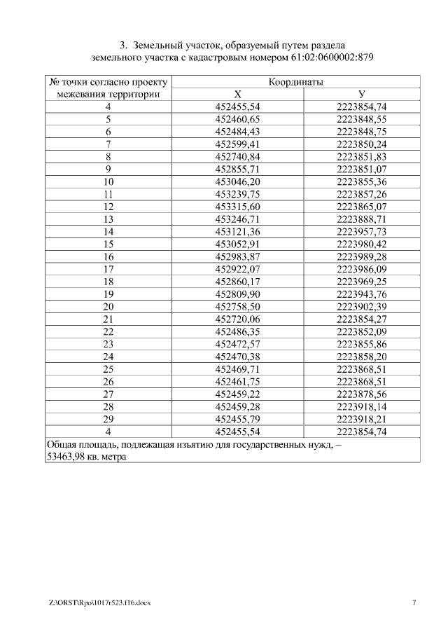
Распоряжение Правительства Ростовской области от 17.10.2016 № 523
"Об изъятии земельных участков для государственных нужд Ростовской области"
Номер опубликования: 6100201610210003
Дата опубликования: 21.10.2016
Страница №7 из 7:
Увеличить