Официальное опубликование правовых актов
ОФИЦИАЛЬНОЕ ОПУБЛИКОВАНИЕ
Постановление Правительства Ростовской области от 19.09.2016 № 648
"О внесении изменений в постановление Правительства Ростовской области от 27.01.2016 № 25"
Номер опубликования: 6100201609230001
Дата опубликования: 23.09.2016
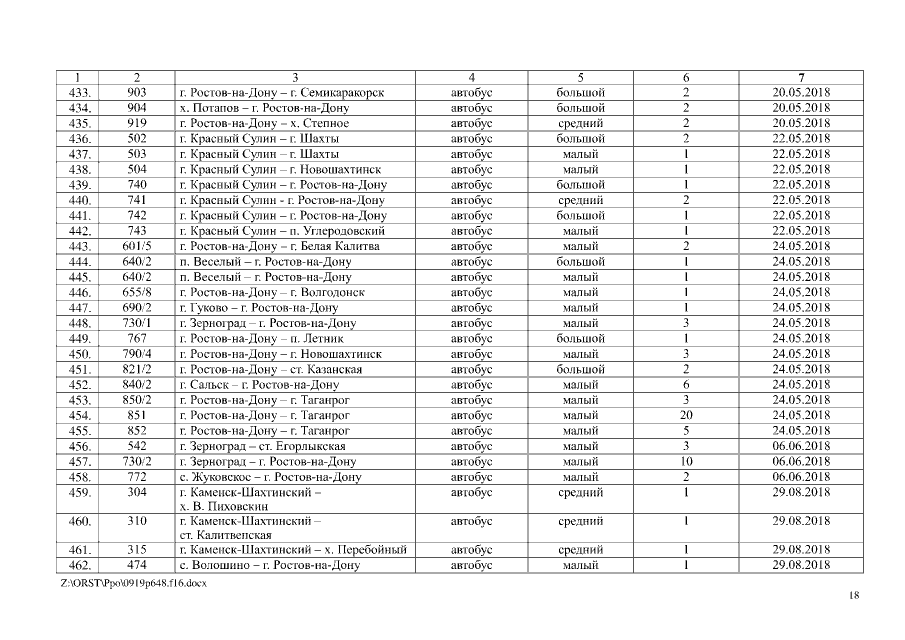
Страница №18 из 28:
Увеличить