Официальное опубликование правовых актов
ОФИЦИАЛЬНОЕ ОПУБЛИКОВАНИЕ
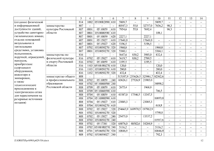
Постановление Правительства Ростовской области от 01.09.2016 № 629
"О внесении изменений в постановление Правительства Ростовской области от 25.09.2013 № 585"
Номер опубликования: 6100201609060012
Дата опубликования: 06.09.2016
Страница №12 из 46:
Увеличить