Официальное опубликование правовых актов
ОФИЦИАЛЬНОЕ ОПУБЛИКОВАНИЕ
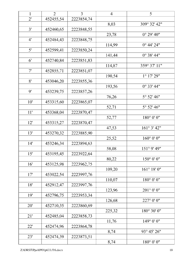
Постановление Правительства Ростовской области от 01.09.2016 № 633
"Об утверждении проекта межевания территории размещения автомобильной дороги общего пользования регионального значения "Подъезд от магистрали "Дон" к аэропорту "Южный"
Номер опубликования: 6100201609060004
Дата опубликования: 06.09.2016
Страница №18 из 19:
Увеличить