Официальное опубликование правовых актов
ОФИЦИАЛЬНОЕ ОПУБЛИКОВАНИЕ
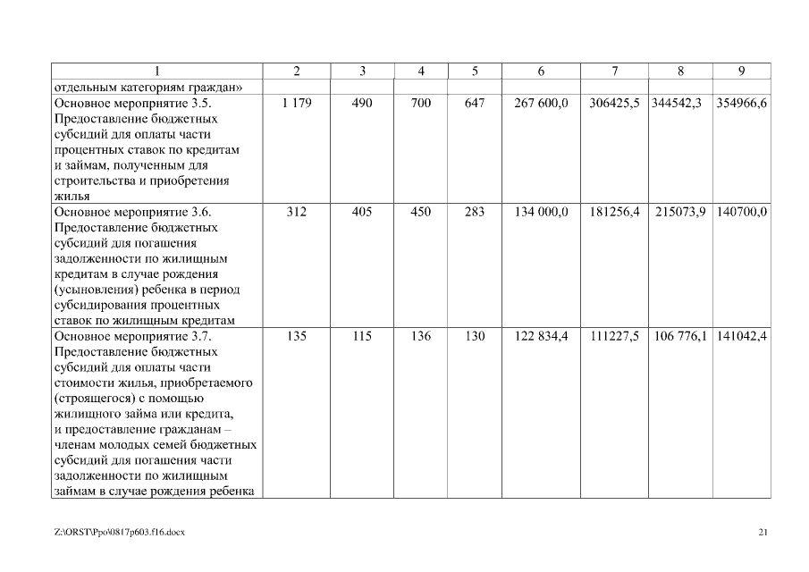
Постановление Правительства Ростовской области от 17.08.2016 № 603
"О внесении изменений в постановление Правительства Ростовской области от 25.09.2013 № 604"
Номер опубликования: 6100201608220010
Дата опубликования: 22.08.2016
Страница №21 из 89:
Увеличить