Официальное опубликование правовых актов
ОФИЦИАЛЬНОЕ ОПУБЛИКОВАНИЕ
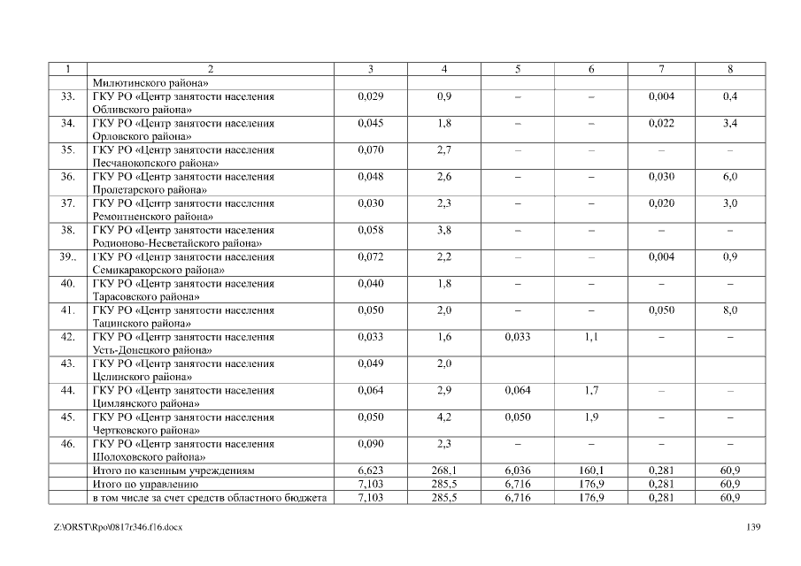
Распоряжение Правительства Ростовской области от 17.08.2016 № 346
"О прогнозных объемах финансирования и лимитах потребления на услуги по водоснабжению, водоотведению и вывозу жидких бытовых отходов на 2017 год и плановый период 2018 и 2019 годов"
Номер опубликования: 6100201608220007
Дата опубликования: 22.08.2016
Страница №139 из 337:
Увеличить