Официальное опубликование правовых актов
ОФИЦИАЛЬНОЕ ОПУБЛИКОВАНИЕ
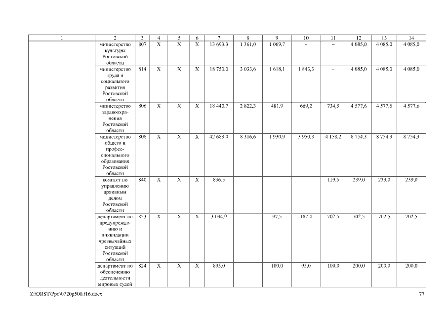
Постановление Правительства Ростовской области от 20.07.2016 № 500
"О внесении изменения в постановление Правительства Ростовской области от 25.09.2013 № 598"
Номер опубликования: 6100201607250014
Дата опубликования: 25.07.2016
Страница №77 из 114:
Увеличить