Официальное опубликование правовых актов
ОФИЦИАЛЬНОЕ ОПУБЛИКОВАНИЕ
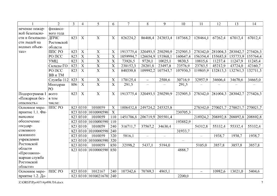
Постановление Правительства Ростовской области от 14.07.2016 № 498
"О внесении изменений в постановление Правительства Ростовской области от 25.09.2013 № 589"
Номер опубликования: 6100201607180013
Дата опубликования: 18.07.2016
Страница №7 из 22:
Увеличить