Официальное опубликование правовых актов
ОФИЦИАЛЬНОЕ ОПУБЛИКОВАНИЕ
Постановление Правительства Ростовской области от 06.07.2016 № 451
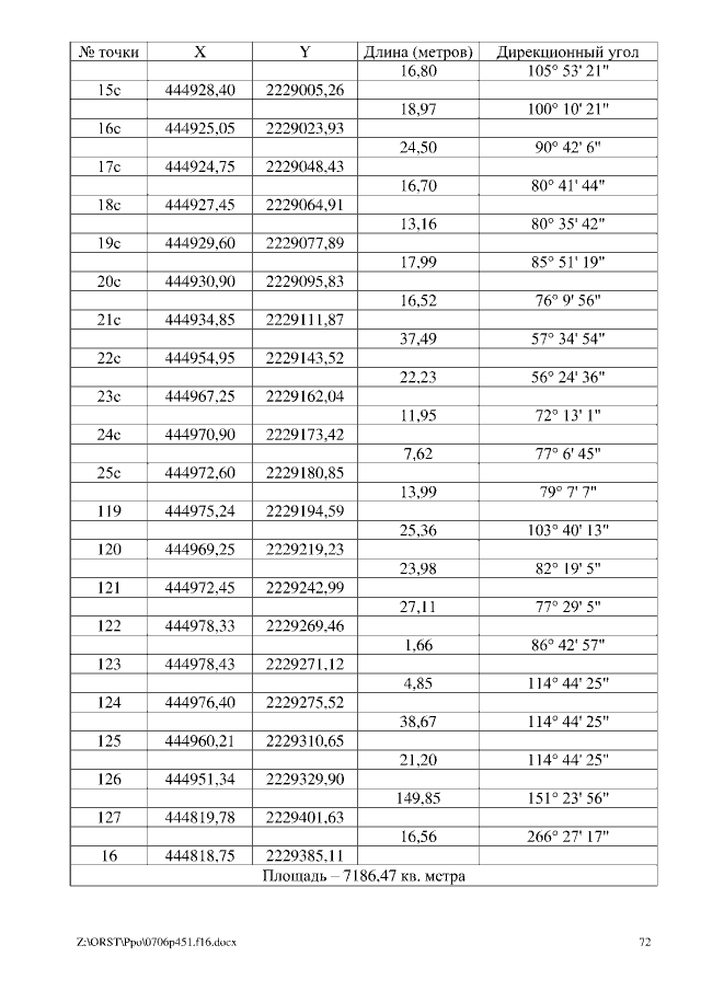
"Об утверждении основной части проекта планировки и проекта межевания территории размещения линейного объекта "Газопровод высокого давления для газоснабжения аэропортового комплекса "Южный" и прилегающих населенных пунктов в Грушевском сельском поселении Аксайского района Ростовской области"
Номер опубликования: 6100201607120005
Дата опубликования: 12.07.2016
Страница №72 из 111:
Увеличить