Официальное опубликование правовых актов
ОФИЦИАЛЬНОЕ ОПУБЛИКОВАНИЕ
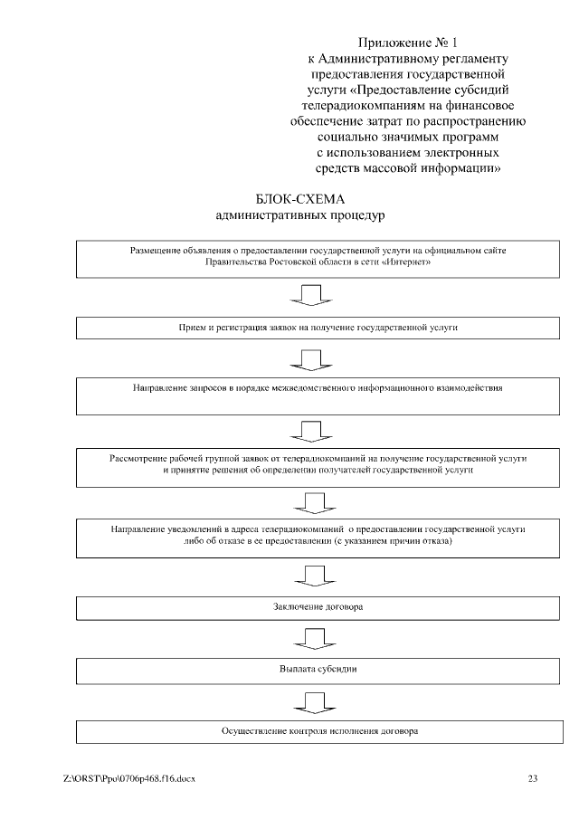
Постановление Правительства Ростовской области от 06.07.2016 № 468
"Об утверждении Административного регламента предоставления государственной услуги "Предоставление субсидий телерадиокомпаниям на финансовое обеспечение затрат по распространению социально значимых программ с использованием электронных средств массовой информации"
Номер опубликования: 6100201607120004
Дата опубликования: 12.07.2016
Страница №23 из 23:
Увеличить