Официальное опубликование правовых актов
ОФИЦИАЛЬНОЕ ОПУБЛИКОВАНИЕ
Постановление Правительства Ростовской области от 20.06.2016 № 411
"О внесении изменений в постановление Правительства Ростовской области от 25.09.2013 № 596"
Номер опубликования: 6100201606210001
Дата опубликования: 21.06.2016
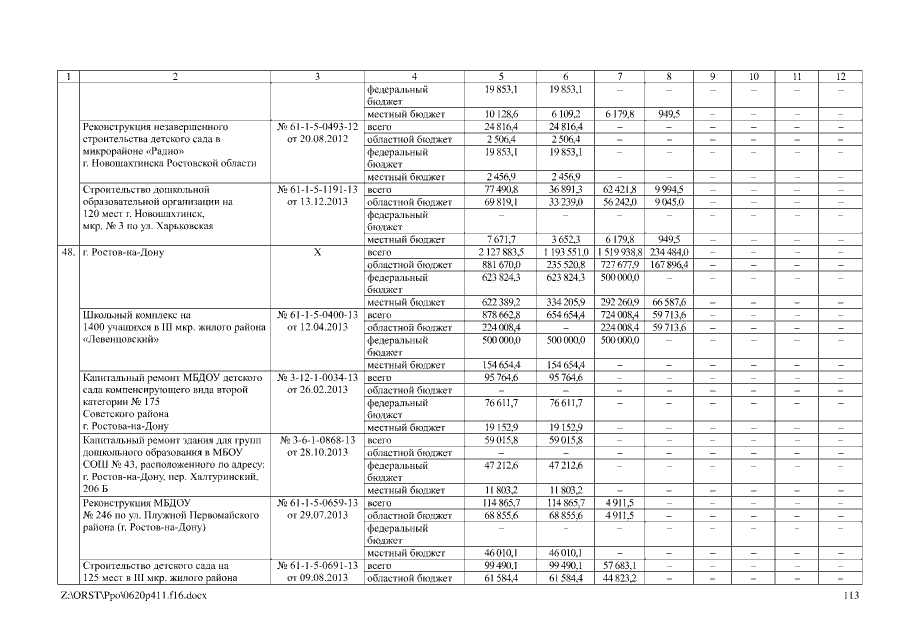
Страница №113 из 120:
Увеличить