Официальное опубликование правовых актов
ОФИЦИАЛЬНОЕ ОПУБЛИКОВАНИЕ
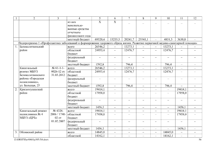
Постановление Правительства Ростовской области от 01.06.2016 № 385
"О внесении изменений в постановление Правительства Ростовской области от 25.09.2013 № 593"
Номер опубликования: 6100201606070006
Дата опубликования: 07.06.2016
Страница №56 из 64:
Увеличить