Официальное опубликование правовых актов
ОФИЦИАЛЬНОЕ ОПУБЛИКОВАНИЕ
Распоряжение Правительства Ростовской области от 18.05.2016 № 182
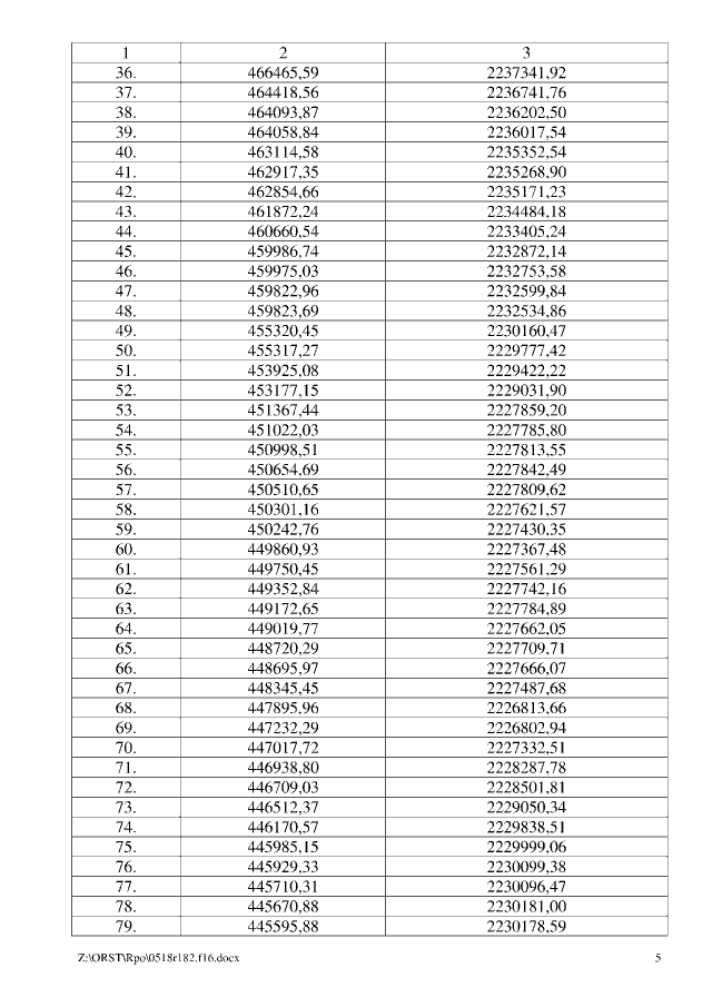
"О разработке проекта планировки и проекта межевания территории размещения линейных объектов: "Реконструкция ГРС Шахты-2 в Ростовском УМГ" и "Реконструкция распределительных газопроводов, предназначенных для газоснабжения потребителей г. Шахты Ростовской области"
Номер опубликования: 6100201605240001
Дата опубликования: 24.05.2016
Страница №5 из 8:
Увеличить