Официальное опубликование правовых актов
ОФИЦИАЛЬНОЕ ОПУБЛИКОВАНИЕ
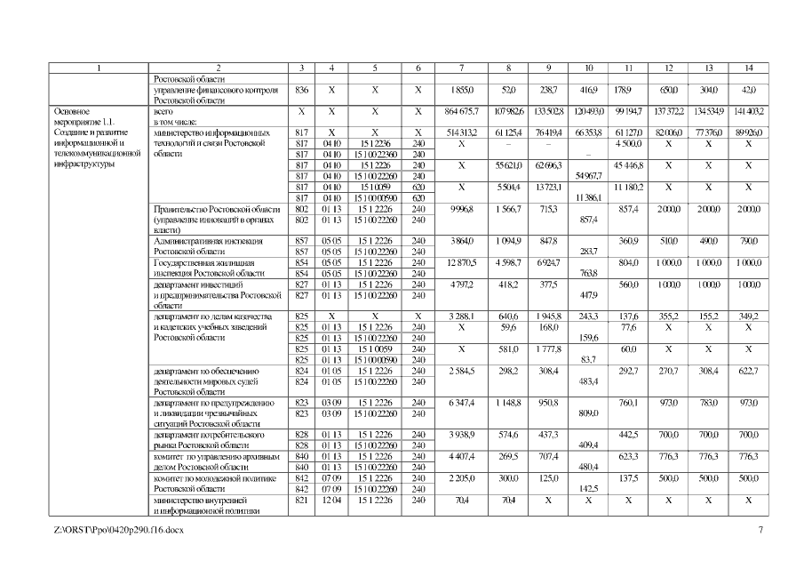
Постановление Правительства Ростовской области от 20.04.2016 № 290
"О внесении изменения в постановление Правительства Ростовской области от 25.09.2013 № 594"
Номер опубликования: 6100201604250007
Дата опубликования: 25.04.2016
Страница №7 из 16:
Увеличить