Официальное опубликование правовых актов
ОФИЦИАЛЬНОЕ ОПУБЛИКОВАНИЕ
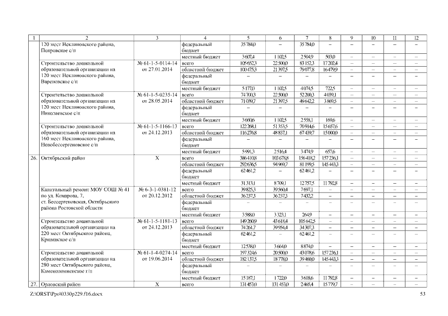
Постановление Правительства Ростовской области от 30.03.2016 № 229
"О внесении изменений в постановление Правительства Ростовской области от 25.09.2013 № 596"
Номер опубликования: 6100201604050005
Дата опубликования: 05.04.2016
Страница №53 из 70:
Увеличить