Официальное опубликование правовых актов
ОФИЦИАЛЬНОЕ ОПУБЛИКОВАНИЕ
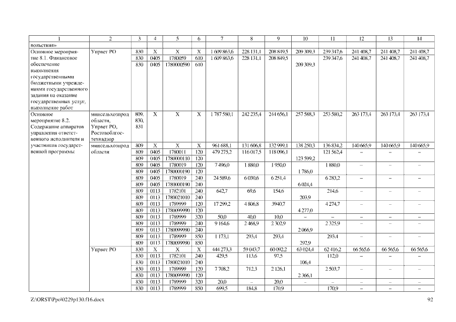
Постановление Правительства Ростовской области от 29.02.2016 № 130
"О внесении изменений в постановление Правительства Ростовской области от 25.09.2013 № 592"
Номер опубликования: 6100201603020016
Дата опубликования: 02.03.2016
Страница №92 из 137:
Увеличить