Официальное опубликование правовых актов
ОФИЦИАЛЬНОЕ ОПУБЛИКОВАНИЕ
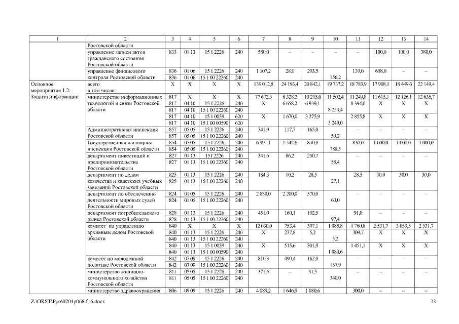
Постановление Правительства Ростовской области от 04.02.2016 № 68
"О внесении изменений в постановление Правительства Ростовской области от 25.09.2013 № 594"
Номер опубликования: 6100201602100001
Дата опубликования: 10.02.2016
Страница №23 из 42:
Увеличить