Официальное опубликование правовых актов
ОФИЦИАЛЬНОЕ ОПУБЛИКОВАНИЕ
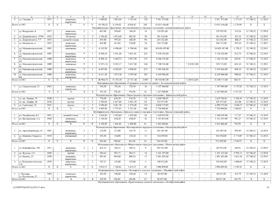
Постановление Правительства Ростовской области от 31.12.2015 № 220
"О внесении изменений в постановление Правительства Ростовской области от 29.12.2014 № 894"
Номер опубликования: 6100201601080024
Дата опубликования: 08.01.2016
Страница №10 из 21:
Увеличить