Официальное опубликование правовых актов
ОФИЦИАЛЬНОЕ ОПУБЛИКОВАНИЕ
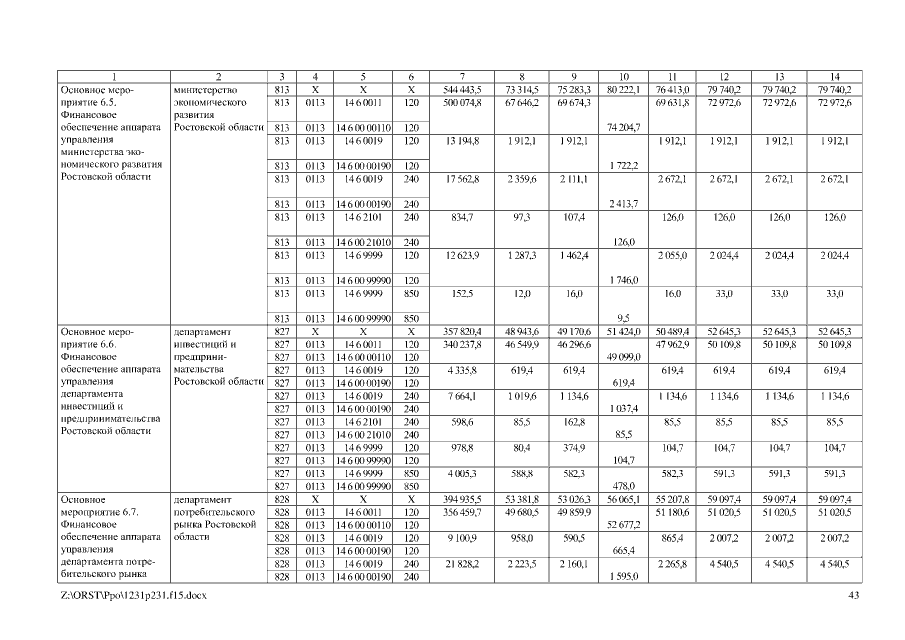
Постановление Правительства Ростовской области от 31.12.2015 № 231
"О внесении изменений в постановление Правительства Ростовской области от 25.09.2013 № 599"
Номер опубликования: 6100201601080012
Дата опубликования: 08.01.2016
Страница №43 из 47:
Увеличить