Официальное опубликование правовых актов
ОФИЦИАЛЬНОЕ ОПУБЛИКОВАНИЕ
Постановление Правительства Ростовской области от 09.12.2015 № 162
"О внесении изменения в постановление Правительства Ростовской области от 25.09.2013 № 598"
Номер опубликования: 6100201512140008
Дата опубликования: 14.12.2015
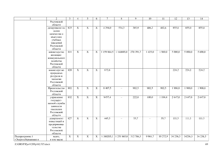
Страница №69 из 105:
Увеличить