Официальное опубликование правовых актов
ОФИЦИАЛЬНОЕ ОПУБЛИКОВАНИЕ
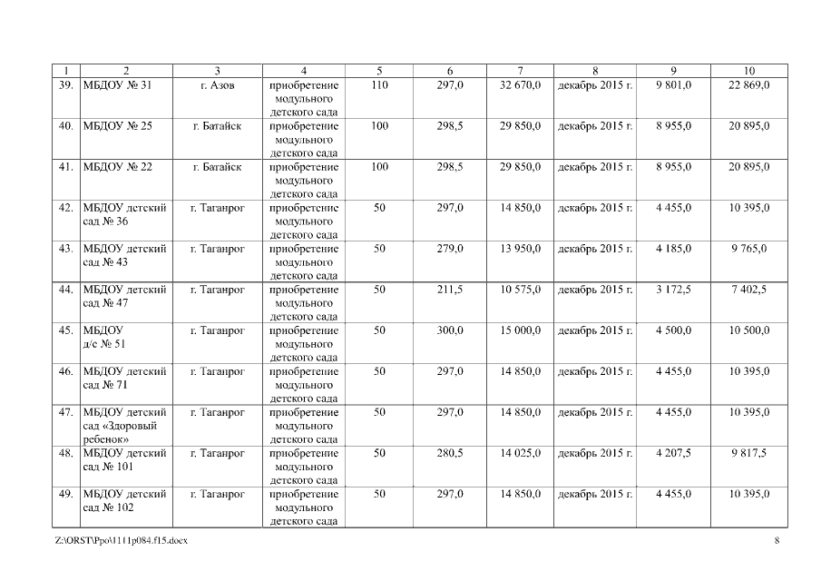
Постановление Правительства Ростовской области от 11.11.2015 № 84
"О внесении изменений в постановление Правительства Ростовской области от 12.03.2015 № 178"
Номер опубликования: 6100201511160013
Дата опубликования: 16.11.2015
Страница №8 из 11:
Увеличить