Официальное опубликование правовых актов
ОФИЦИАЛЬНОЕ ОПУБЛИКОВАНИЕ
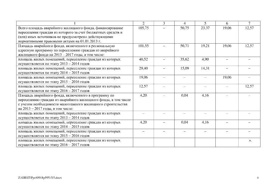
Постановление Правительства Ростовской области от 18.09.2015 № 595
"О внесении изменений в постановление Правительства Ростовской области от 16.05.2013 № 286"
Номер опубликования: 6100201509230025
Дата опубликования: 23.09.2015
Страница №4 из 6:
Увеличить