Официальное опубликование правовых актов
ОФИЦИАЛЬНОЕ ОПУБЛИКОВАНИЕ
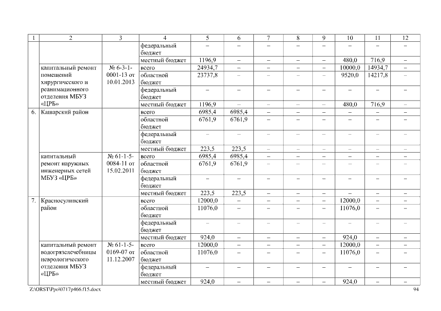
Постановление Правительства Ростовской области от 17.07.2015 № 466
"О внесении изменений в постановление Правительства Ростовской области от 25.09.2013 № 593"
Номер опубликования: 6100201507210001
Дата опубликования: 21.07.2015
Страница №94 из 100:
Увеличить