Официальное опубликование правовых актов
ОФИЦИАЛЬНОЕ ОПУБЛИКОВАНИЕ
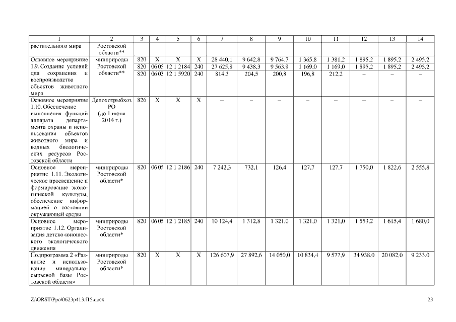
Постановление Правительства Ростовской области от 23.06.2015 № 413
"О внесении изменений в постановление Правительства Ростовской области от 25.09.2013 № 595"
Номер опубликования: 6100201506260004
Дата опубликования: 26.06.2015
Страница №23 из 50:
Увеличить