Официальное опубликование правовых актов
ОФИЦИАЛЬНОЕ ОПУБЛИКОВАНИЕ
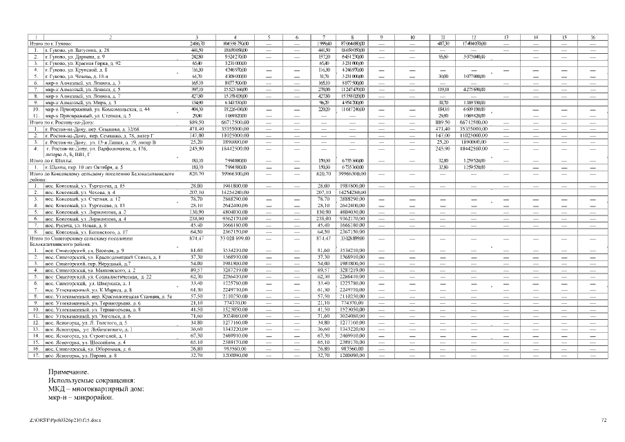
Постановление Правительства Ростовской области от 26.03.2015 № 210
"О внесении изменения в постановление Правительства Ростовской области от 18.04.2013 № 196"
Номер опубликования: 6100201503270001
Дата опубликования: 27.03.2015
Страница №72 из 90:
Увеличить