Официальное опубликование правовых актов
ОФИЦИАЛЬНОЕ ОПУБЛИКОВАНИЕ
Постановление Правительства Ростовской области от 05.02.2015 № 75
"О внесении изменений в постановление Правительства Ростовской области от 18.04.2013 № 196"
Номер опубликования: 6100201502100006
Дата опубликования: 10.02.2015
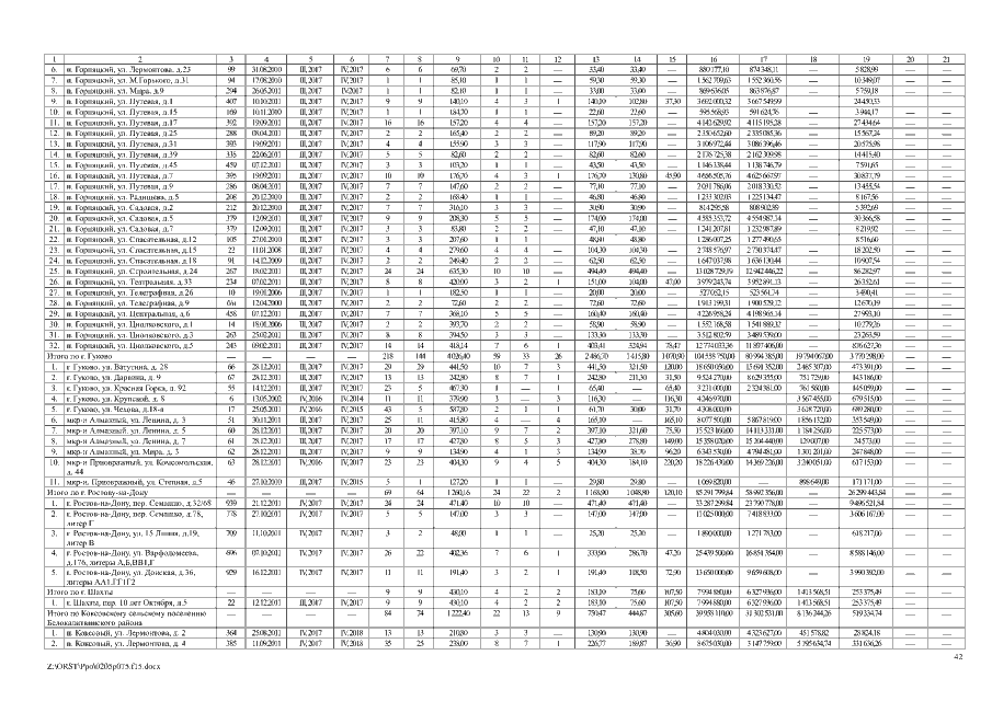
Страница №42 из 81:
Увеличить