Официальное опубликование правовых актов
ОФИЦИАЛЬНОЕ ОПУБЛИКОВАНИЕ
Постановление Правительства Ростовской области от 13.11.2014 № 765
"О внесении изменения в постановление Правительства Ростовской области от 18.04.2013 № 196"
Номер опубликования: 6100201411200001
Дата опубликования: 20.11.2014
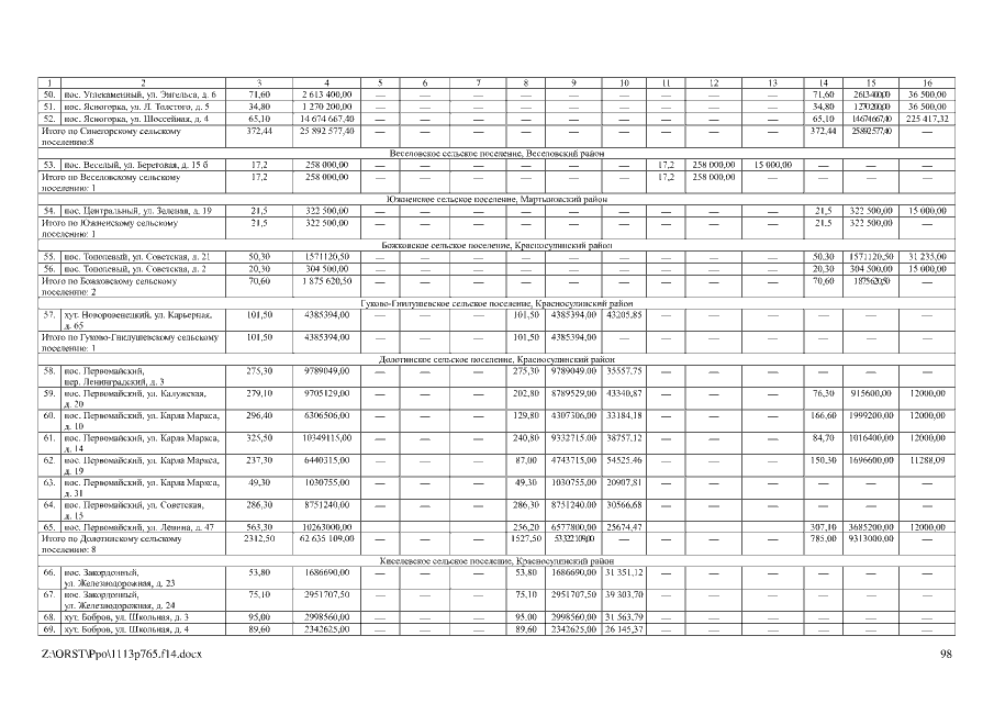
Страница №98 из 122:
Увеличить