Официальное опубликование правовых актов
ОФИЦИАЛЬНОЕ ОПУБЛИКОВАНИЕ
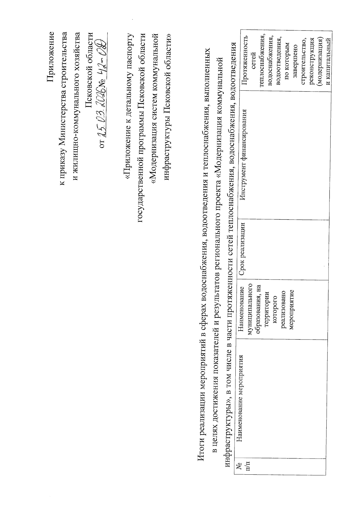
Приказ Министерства строительства и жилищно-коммунального хозяйства Псковской области от 25.03.2026 № 42-ОД
"О внесении изменений в детальный паспорт государственной программы Псковской области "Модернизация систем коммунальной инфраструктуры Псковской области"
(Зарегистрирован 25.03.2026 № 2980)
Номер опубликования: 6001202603300014
Дата опубликования: 30.03.2026
Страница №3 из 11:
Увеличить