Приказ Министерства здравоохранения Псковской области от 19.01.2026 № 27
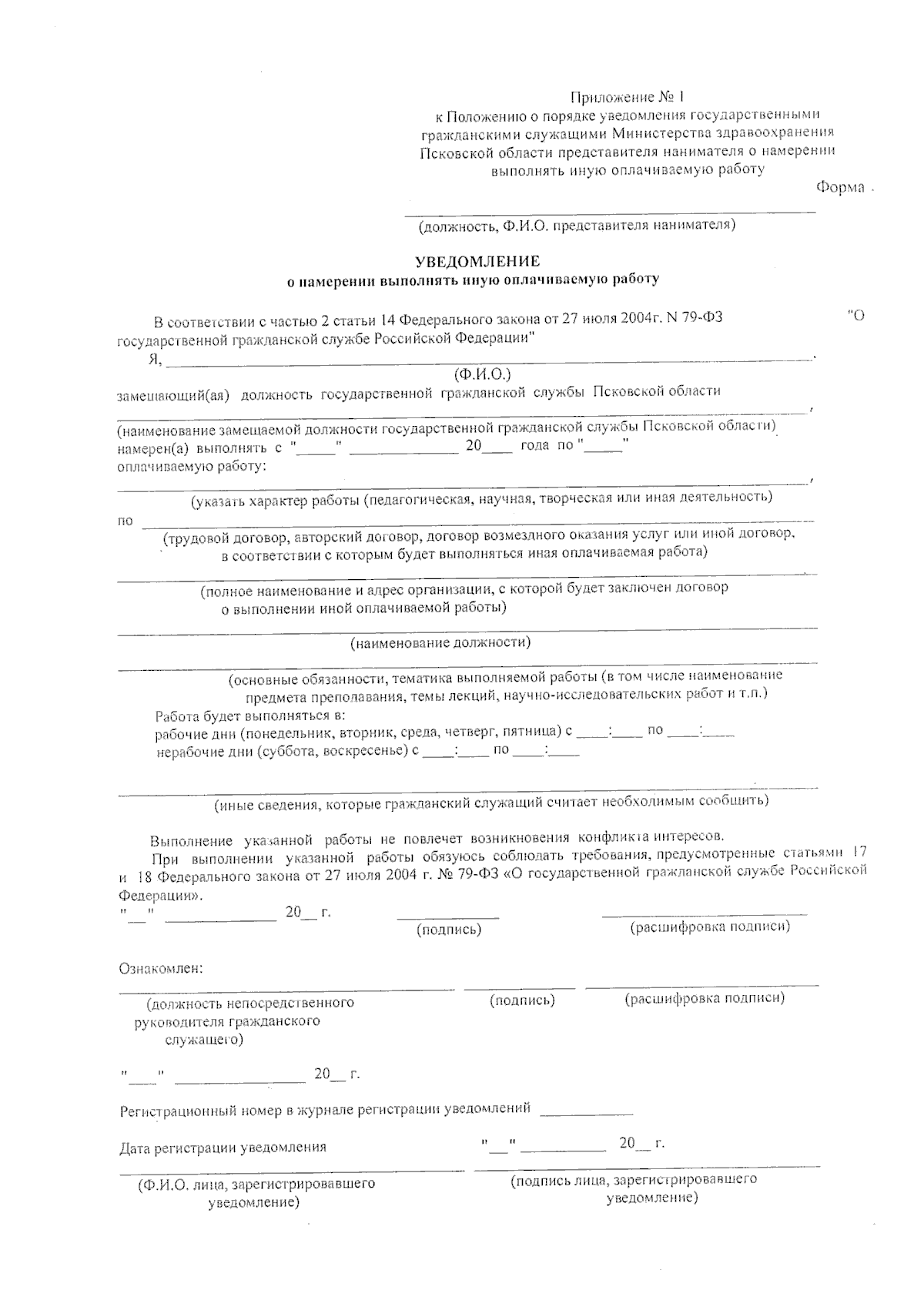
"Об утверждении Положения о порядке уведомления государственными гражданскими служащими Министерства здравоохранения Псковской области представителя нанимателя о намерении выполнять иную оплачиваемую работу"
(Зарегистрирован 20.01.2026 № 2838)
"Об утверждении Положения о порядке уведомления государственными гражданскими служащими Министерства здравоохранения Псковской области представителя нанимателя о намерении выполнять иную оплачиваемую работу"
(Зарегистрирован 20.01.2026 № 2838)
Номер опубликования: 6001202601220001
Дата опубликования:
22.01.2026
