Официальное опубликование правовых актов
ОФИЦИАЛЬНОЕ ОПУБЛИКОВАНИЕ
Приказ Министерства тарифов и энергетики Псковской области от 19.12.2025 № 312-в
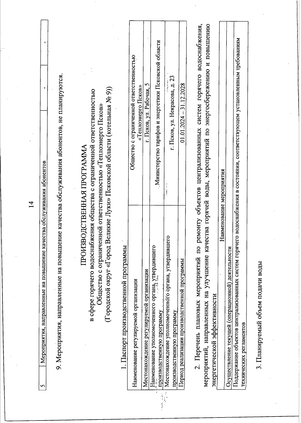
"О внесении изменений в приказ Комитета по тарифам и энергетике Псковской области от 20.12.2023 № 254-в "Об утверждении производственных программ, установлении долгосрочных параметров регулирования и тарифов в сфере горячего водоснабжения для общества с ограниченной ответственностью "Газпром теплоэнерго Псков" на 2024 - 2028 годы"
(Зарегистрирован 19.12.2025 № 2770)
Номер опубликования: 6001202512260002
Дата опубликования: 26.12.2025
Страница №19 из 120:
Увеличить