Официальное опубликование правовых актов
ОФИЦИАЛЬНОЕ ОПУБЛИКОВАНИЕ
Приказ Министерства природных ресурсов и экологии Псковской области от 17.12.2025 № 303
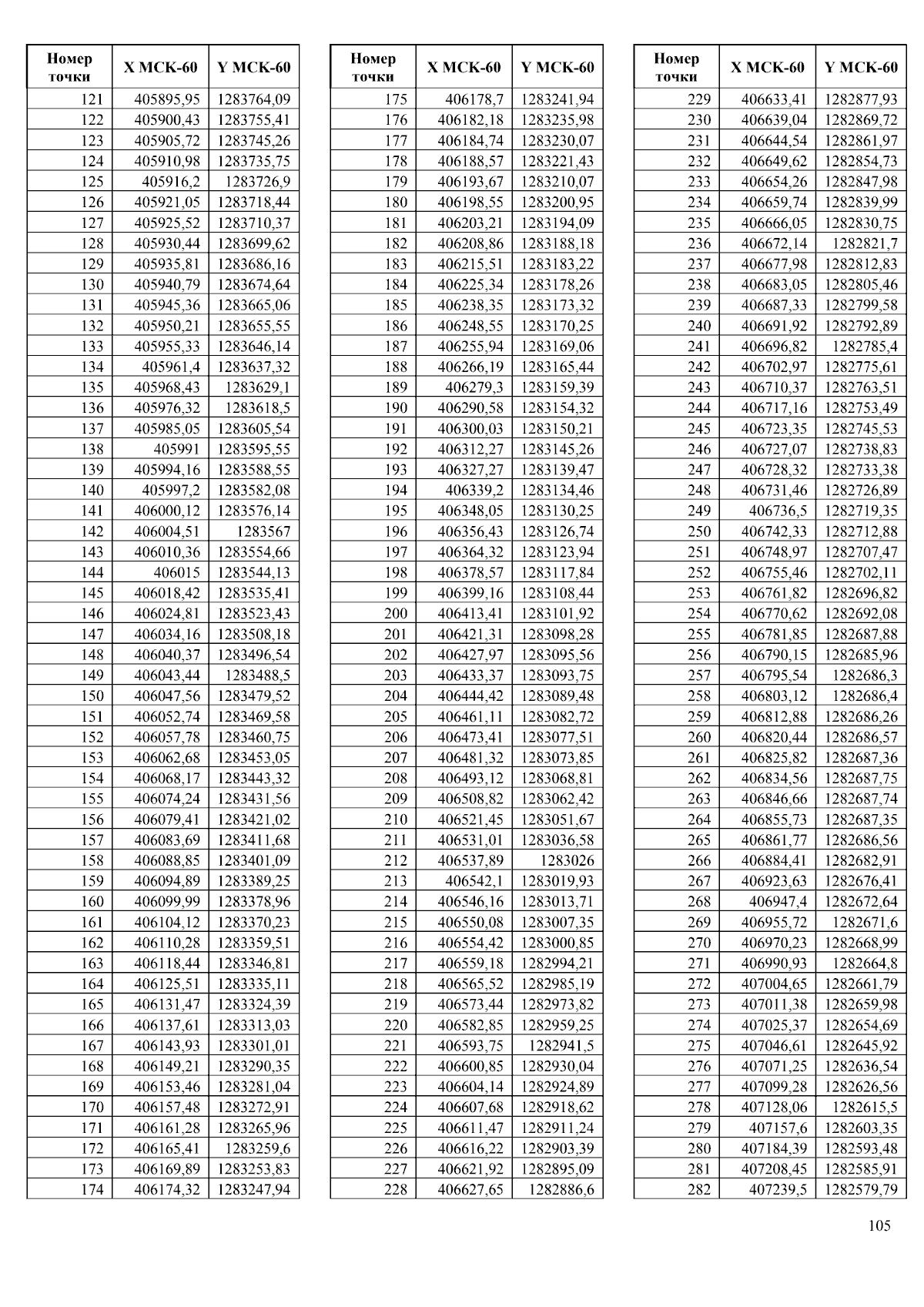
"Об утверждении местоположения береговой линии (границы водного объекта), границы водоохранной зоны и границы прибрежной защитной полосы реки Верша на территории Псковской области"
(Зарегистрирован 18.12.2025 № 2726)
Номер опубликования: 6001202512220034
Дата опубликования: 22.12.2025
Страница №107 из 178:
Увеличить