Официальное опубликование правовых актов
ОФИЦИАЛЬНОЕ ОПУБЛИКОВАНИЕ
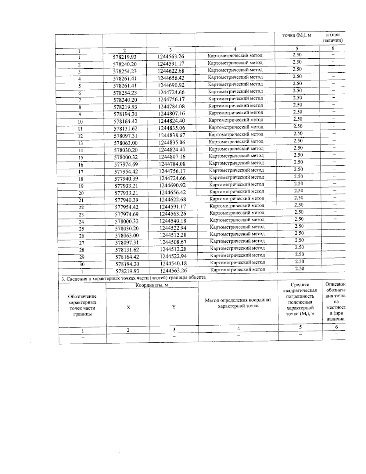
Приказ Министерства природных ресурсов и экологии Псковской области от 21.10.2025 № 150
"Об установлении зон санитарной охраны источника питьевого и хозяйственно-бытового водоснабжения"
(Зарегистрирован 22.10.2025 № 2426)
Номер опубликования: 6001202510240001
Дата опубликования: 24.10.2025
Страница №8 из 8:
Увеличить