Официальное опубликование правовых актов
ОФИЦИАЛЬНОЕ ОПУБЛИКОВАНИЕ
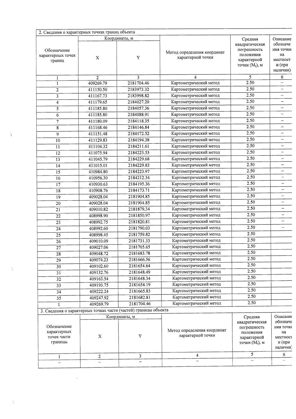
Приказ Министерства природных ресурсов и экологии Псковской области от 19.09.2025 № 76
"Об установлении зон санитарной охраны источника питьевого и хозяйственно-бытового водоснабжения"
(Зарегистрирован 22.09.2025 № 2361)
Номер опубликования: 6001202509260003
Дата опубликования: 26.09.2025
Страница №8 из 8:
Увеличить