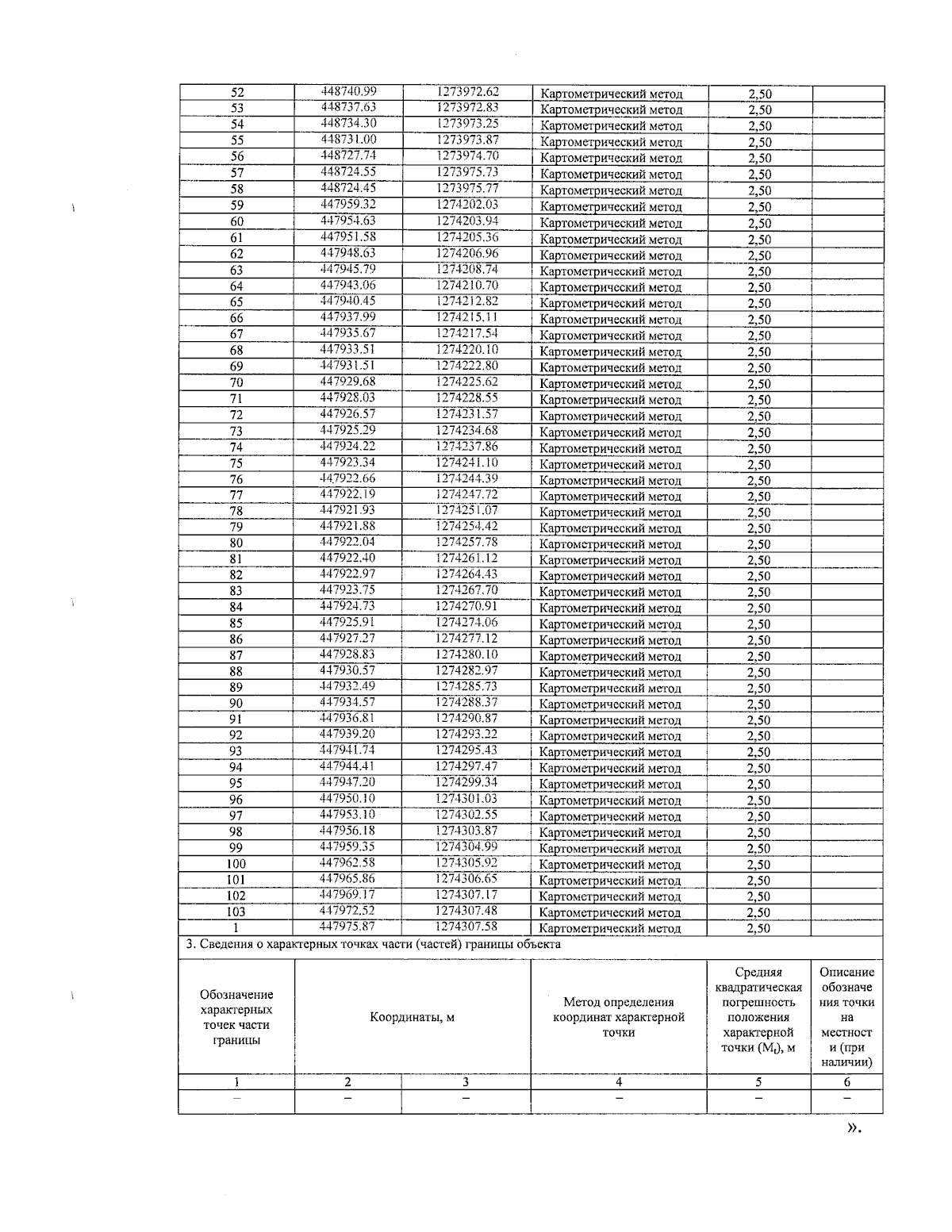
Приказ Комитета по природным ресурсам и экологии Псковской области от 16.06.2025 № 247
"О внесении изменений в приказ Государственного комитета Псковской области по природопользованию и охране окружающей среды от 27.01.2015 № 37 "Об утверждении Проекта зон санитарной охраны артезианской скважины на воду ОАО "Вектор" расположенной по ул. К. Маркса, д. 11 в г. Острове Псковской области"
(Зарегистрирован 16.06.2025 № 2185)
"О внесении изменений в приказ Государственного комитета Псковской области по природопользованию и охране окружающей среды от 27.01.2015 № 37 "Об утверждении Проекта зон санитарной охраны артезианской скважины на воду ОАО "Вектор" расположенной по ул. К. Маркса, д. 11 в г. Острове Псковской области"
(Зарегистрирован 16.06.2025 № 2185)
Номер опубликования: 6001202506180004
Дата опубликования:
18.06.2025
